Kumpulan Soal Logaritma. Bab 1 eksponen dan logaritma 3. A log 1 = 0 2. 2 3 8 3 27 22 4 23 9 21 2 31 3 2 0 1 3 1. Download gratis kumpulan naskah soal calistung untuk sekolah dasar (sd) kelas 1, 2, 3. Soal hots matematika tipe un sbmptn logaritma ajar pipolonfo youtube. Lalu apa itu logaritma ?. ⇒ 4 log 6 = m + 1. Kemudian apabila x = aⁿ, maka ᵃlog x = n. Di sini, kamu akan belajar tentang logaritma melalui video yang dibawakan oleh bapak anton wardaya. Latihan soal online materi eksponen bagian 1 kelas 10 m4thguru. Kumpulan soal logaritma beserta jawabannya lengkap. Soal un matematika sma tahun 2014 dan pembahasannya. Contoh soal logaritma dan pembahasannya. Sedikit mirip dengan soal sebelumnya, dengan mengetahui ada keterangan di dalam soal mengenai nilai dari sebuah logaritma suatu bilangan, maka yang perlu kita lakukan adalah dengan mengubahnya ke dalam bentuk yang mengandung unsur bilangan yang sesuai dengan keterangan tersebut. Apabila telah diketahui log 3 = 0,332 dan log 2 = 0,225.maka log 18 dari soal tersebut.

Kumpulan Soal Dan Pembahasan Logaritma
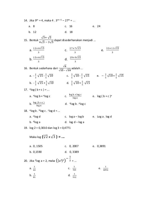
Kumpulan Soal Dan Pembahasan Logaritma from latihansoalyuk.blogspot.com

Kumpulan soal logaritma kelas 10 dan pembahasan. 1 ubah bentuk pangkat pada soal soal berikut. Download bank soal induksi matematika pdf. Penggunaan konsep logaritma dapat diterapkan dalam berbagai disiplin ilmu, seperti : 2 3 8 3 27 22 4 23 9 21 2 31 3 2 0 1 3 1. Berikut disajikan sejumlah soal dan pembahasan terkait fungsi logaritma yang dipelajari saat kelas x pada mata pelajaran matematika peminatangambar grafik yang disajikan di sini merupakan produk dari penggunaan aplikasi geogebra. Kita tahu bahwa bentuk umum ini dijadikan sebagai dasar penerapan rumus logaritma yang tersedia. Kumpulan soal persamaan logaritma lengkap. Contoh soal eksponen dan logaritma dalam kehidupan sehari hari kumpulan soal pelajaran 3. Dari kumpulan soal soal yang ada pada artikel ini banyak sekali soal soal yang menurut kami.

Jika Sobat Idschool Belum Menguasai Dasar Logaritma Bisa Pelajari Terlebih Dahulu Contoh Soal Yang Cukup Mudah Di Sini.


Bank soal un matematika sma bentuk logaritma. Jika ba = c, maka blog c = a. A disebut bilangan pokok logaritma atau basis, b disebut nilai yang dilogaritmakan dan c. Latihan soal ekonomi tentang mekanisme pasar. Jika fungsi ini diturunkan maka. Contoh soal logaritma dan pembahasannya. Jika diketahui log x = a dan log y = b, maka log. Kumpulan soal persamaan logaritma lengkap. Berikut ini sejumlah contoh logaritma:

Maka Dari Itu, Bagi Yang Masih Bingung Dengan Perhitungan Persamaan Logaritma, Silahkan Simak Ulasan Di Bawah.


By agcmyid posted on september 26, 2021. Tentunya contoh soal itu akan berguna untuk membantumu memahami materi logaritma dalam pelajaran matematika. Definisi logaritma a x = b ⇔ x = a log b syarat logaritma (a log b) basis : Download bank soal induksi matematika pdf. Rumus tersebut digunakan untuk menyelesaikan contoh soal logaritma. Beserta jawaban dan pembahasannya posted on december 3, 2021 by emma kali ini kami akan menghadirkan kumpulan contoh soal logaritma matematika kelas 10 (penjumlahan dan pengurangan) lengkap bersama kunci jawabannya dan pembahasannya lengkap. Kumpulan soal latihan logaritma 4. Soal un matematika sma tahun 2014 dan pembahasannya. Penggunaan konsep logaritma dapat diterapkan dalam berbagai disiplin ilmu, seperti :

Prinsip Untuk Mengerjakan Soal Seperti Ini Adalah Kita Mengubah Bentuk Logaritma Yang Ditanya Atau Yang Diketahui Agar Saling Berhubungan.


1 ubah bentuk pangkat pada soal soal berikut. Transformasi bentuk pangkat ke bentuk logaritma: Karena 4 log 6 dan 9 log 8 dapat dikaitkan dengan 2 log 3 ataupun 3 log 2, maka kita ubah kedua bentuk tersebut agar nilai 9 log 8 diketahui. Soal dan pembahasan matematika logaritma 1 6 kumpulan soal dan pembahasan logaritma. Nah, sebagai penjelasan pemahaman anda dalam perhitungan logaritma, di sini inspired2write akan sajikan beberapa contoh soal persamaan logaritma lengkap dengan penjelasannya. 1) un matematika tahun 2007 paket 12. Teori tentang “logaritma” pertama kali diperkenalkan oleh ilmuwan yang bernama john napier yang lahir pada tahun 1550 di dekat edinburgh, skotlandia. Soal soal logaritma utbk.pembahasan integral utbk 2019 matematika saintek soal yang akan dibahas fungsi f x memenuhi f x f x. Perhitungan bunga bank, laju pertumbuhan bakteri dan dapat juga untuk menentukan.

Related Posts